Vaishnavi Shukla | December 1, 2025 | 11:34 AM IST | 2 mins read
Common Admission Test 2025: IIM Kozhikode conducted the CAT exam for 2.58 lakh MBA aspirants at 339 centres across 170 cities.
Use CAT 2025 College Predictor to check your chances for IIM and top MBA calls based on CAT percentile, profile, work experience and cut-off trends.
Use Now
As per the previous year’s trends, the Indian Institute of Management (IIM) Kozhikode is expected to publish the Common Admission Test (CAT) 2025 answer key and response sheet in the first week of December. IIM Kozhikode conducted the CAT 2025 exam for 2.58 lakh MBA aspirants at 339 centres across 170 cities. CAT 2025 live updates
Latest: CAT 2025 College Predictor
Don't Miss: IIM -A Comprehensive Guide
CAT 2025 QP's & Solutions: Slot 1 | Slot 2 | Slot 3 | All Slot
Also See: Best Private MBA Colleges in India
The CAT 2025 was held in three shifts, and candidates were given 120 minutes to complete the exam. This year's CAT 2025 attendance was recorded at about 86%. Last year, a total of 2.93 lakh candidates appeared for the exam, with an overall attendance of 89%.
Once the answer key is issued, candidates will be able to challenge the raise their objection against the provisional answer through the official website, iimcat.ac.in. If objections are valid, then the objection fee will be refunded to the candidates. Based on the final answer key, IIM Kozhikode will prepare the CAT results 2025.
Also read CAT 2025 slot 3 toughest overall, quant most challenging; VARC, DILR doable
To calculate the expected CAT scores, candidates can use the CAT answer key 2025, which will be issued along with the response sheet. The steps to calculate the CAT scores 2025 using the response sheet are as follows.
Step 1: Download the CAT response sheet and answer key on the official website.
Step 2: Review the answers by using the CAT response sheet
Step 3: Make sure that the marks are added and deducted per the CAT marking scheme.
CAT marking scheme 2025
Type of questions | Marks for a correct answer | Marks for incorrect answer |
MCQs | +3 | -1 |
Non-MCQs | +3 | 0 |
Step 4: The cumulative score is calculated by using the following formula:
CAT Raw Score (for MCQs) = 3 x (number of correct answer) - 1 x (number of wrong answers) |
Step 5- After applying the above-mentioned formula, candidates can get their estimated CAT score 2025.
Also read CAT 2025: How the exam changed in five years and what top IIMs now look for in MBA aspirants
The steps to calculate the expected CAT 2025 percentile are as follows.
Step 1: Total number of candidates who appeared.
Note down the total number of candidates (say, N) who appeared for the exam both in the morning and afternoon sessions.
Step 2: Assign rank based on the scaled score
After the normalisation process, each section — as well as the overall performance — is given a scaled score. Your rank (r) is then determined based on this scaled score. If two or more candidates receive the same score in any section, they will be awarded the same rank for that section.
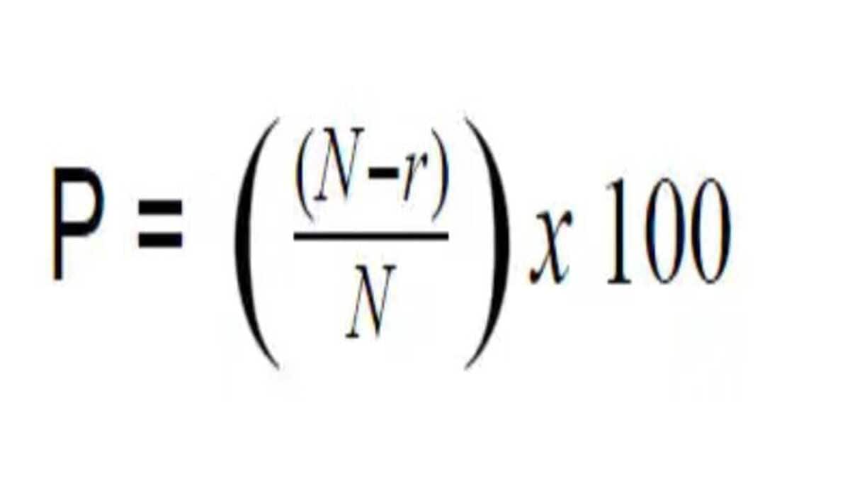
Step 3: Formula to calculate the IIM percentile predictor for CAT is given below.

where,
P = Percentile of a candidate
N = Total number of candidates
r = Rank assigned to a candidate
Follow us for the latest education news on colleges and universities, admission, courses, exams, research, education policies, study abroad and more..
To get in touch, write to us at news@careers360.com.
CAT 2025: MBA aspirants can expect a CAT percentile above 99 for admission to IIM Ahmedabad, while cut-offs for IIM Bangalore and IIM Kozhikode are likely to remain between 97 and 99.
Suviral Shukla